[登录]
[注册]
[我的空间]
赛鸽资讯网首页
粉丝
30人
加关注
友情链接
广州金羽国际赛鸽中心
http://gzjy1919.saige.com/
首页
|
简介
|
公棚动态
|
赛事规程
|
赛绩快报
|
相册
|
视频
|
留言
|
联系方式
|
动静
|
分享
|
鸽讯
公棚动态
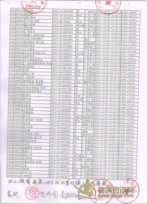
第二关预赛前两百名获奖成绩确认裁判签名照 !
发表时间:2017-12-08 11:58:41 浏览数:710
转到我空间
分享到随写
免责声明:本网凡是由用户发布的文字、图片、音视频等资料,其真实性、准确性和合法性由信息发布人自行承担,并负法律责任。赛鸽资讯网不提供任何保证,并不承担任何法律责任。
相关文章
2017-12-08
广州金羽国际赛鸽中心第二关预赛开笼视频、图片!
2017-12-08
广州金羽清棚后第二关预赛南康站直播链接!
2017-12-08
2017年广州金羽第二关预赛(南康站)指定明细(最后确认)
2017-12-08
广州金羽2017年金羽擂台第三次预赛指定已完成!
2017-12-07
广州金羽2017年预赛逐羽扫描上笼工作图片! (12月7日)
评论列表
该信息禁止评论
© 2005-2026
赛鸽资讯网
saige.com 版权所有:汕头市海霸王詹森信息咨询有限公司