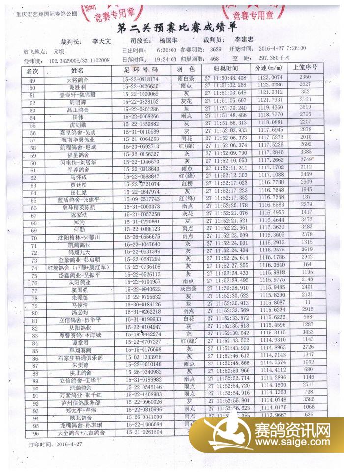
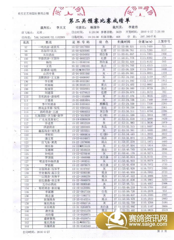
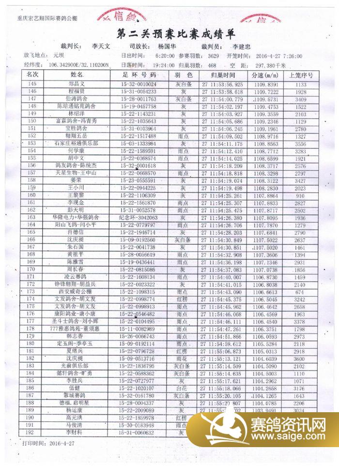
重庆宏艺翔公棚预赛前两百名成绩名单
发表时间:2016-04-27 15:30:11
浏览数:246
转到我空间 分享到随写
| 重庆宏艺翔公棚预赛前两百名成绩名单
重庆宏艺翔公棚预赛前两百名于2016-4-27 11:55:37报满。


 

市鸽协裁判长签字盖章,以示成绩真实有效




感谢大家的关注!预祝大家在以后的赛事中,再创佳绩!
重庆宏艺翔公棚
2016年4月27日 |
免责声明:本网凡是由用户发布的文字、图片、音视频等资料,其真实性、准确性和合法性由信息发布人自行承担,并负法律责任。赛鸽资讯网不提供任何保证,并不承担任何法律责任。